随着物联网(IoT)在医疗领域的渗透,可穿戴设备成为人体与数字世界的关键接口,其中纺织基摩擦纳米发电机(t-TENGs) 因自供电特性与纺织品柔性、透气性结合的优势,在长期健康监测中极具潜力。然而,现有技术存在以下瓶颈:传统t-TENGs依赖预制织物功能化,结构可调性差、表面电荷控制弱;纤维基 TENGs(f-TENGs)主流核壳结构需多层材料与复杂组装,制备通量低,难以实现独立单丝传感。

为此,瑞士联邦材料科学与技术研究所Prof. René M. Rossi、韦孔昌博士等人利用微流控湿法纺丝技术,成功制备出具有竹节状空腔结构的Janus摩擦电纤维。该纤维将PVDF与TPU分置于两侧,通过内部竹节状空腔实现高效接触-分离,无需外部基底即可作为独立单丝传感器工作,并成功应用于人体不同幅度与频率运动的实时监测。相关研究以“Microfluidic Fabrication of Janus Triboelectric Fibers with Bamboo-Like Architecture for Motion Sensing Applications”为题目,发表于期刊《Advanced Fiber Materials》。
本文要点:
1、纤维基摩擦电纳米发电机(f-TENGs)在可穿戴健康和自供电器件中具有广阔前景。针对现有同轴多层f-TENGs制备工艺复杂、效率低的问题,本研究提出一种具有竹节状结构的Janus摩擦电纤维。
2、采用微流控湿法纺丝技术,将聚偏氟乙烯(PVDF,负电性)和热塑性聚氨酯(TPU,正电性)精确分布于纤维两侧,并通过竹节状空腔实现两者的分离。
3、该结构可在纤维变形时实现接触-分离模式的摩擦发电,无需外部基底即可作为独立传感器使用。
4、实验表明,该纤维可集成于可穿戴传感器中,有效监测人体不同频率和幅度的运动。该研究为开发自供电、微型化可穿戴设备提供了新思路。



图1. 基于微流控湿纺(MWS)技术的纤维基摩擦纳米发电机(f-TENG)传感器研制及其人体运动监测应用。a)采用同轴微流控芯片的微流控湿纺装置,用于调控热塑性聚氨酯(TPU)、聚偏氟乙烯(PVDF)与空气的流体形态;b)所得Janus竹节状纤维的结构示意图;c)由导电胶带组装Janus竹节状纤维构成的f-TENG传感器示意图;d)f-TENG传感器在人体运动监测中的应用

图2. 通过速率调控实现微流控流体行为控制:基于核心流速(Qc,微升/分钟)与两种壳层流速(Qs1:TPU溶液流速,微升/分钟;Qs2:PVDF溶液流速,微升/分钟)参数,绘制出连续层流、稳定竹节状流及不稳定竹节状流三种不同流体状态的分布图

图3. 流场中气泡形成与分布分析。a)稳定竹节状流的示意图(左)与显微图像(右),图中定义了气泡参数(气泡间隙、气泡投影面积、TPU流宽度及气泡密度);b)不同核-壳流速条件下的气泡密度;c)不同核-壳流速条件下的TPU流宽度

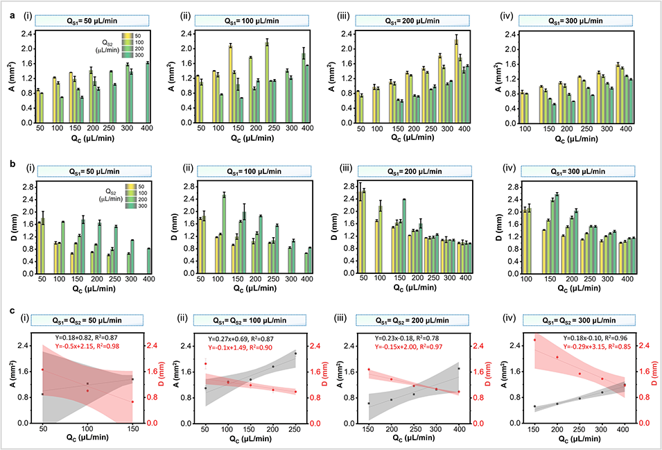
图4. 以气泡投影面积(A)和气泡间隙(D)表征的流体形态随流速的调控规律。a)不同流速条件下测得的气泡面积;b)不同流速条件下测得的气泡间隙;c)气泡面积与气泡间隙随核心流速(Qc)变化的线性拟合结果

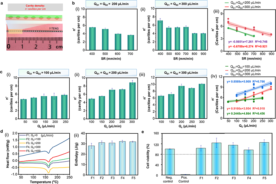
图5. Janus竹节状纤维的结构与生物相容性表征。a)空腔密度n'的示意图;b)卷绕速度(SR)对核心流速Qc=200微升/分钟时所纺纤维空腔密度的影响;c)流速对纤维空腔密度的影响;d)固定壳层流速Qs1=Qs2=200微升/分钟、不同核心流速(Qc=0、100、200、300、400微升/分钟)下所纺纤维的差示扫描量热(DSC)曲线及相应熔融焓;e)在d中所述条件下制备的纤维其条件培养基中培养的成纤维细胞存活率

图6. Janus竹节状纤维的结构与摩擦电性能特征。a)纤维仿生结构的代表性显微图像;b)竹节状空腔单元的接触-分离循环示意图;c)摩擦电效应的示意图

图7. Janus竹节状f-TENG的传感性能。a)传感器结构示意图;b)穿戴者行走与跑步状态下的在体传感性能;c(i)固定流速条件(Qs1=Qs2=200微升/分钟、Qc=300微升/分钟)下所纺纤维构成的传感器,在运动频率4赫兹、振幅10毫米条件下的代表性长期传感性能;(ii)不同核心流速(Qc)、固定壳层流速(Qs1=Qs2=200微升/分钟)下所纺纤维构成的传感器,在不同运动频率与振幅条件下的平均传感性能
论文链接:https://doi.org/10.1007/s42765-025-00641-7
(本文仅供参考学习及传递微流控研究成果,版权归原作者所有,如侵犯权益,请联系删除)






