
导读:
近期,有研究人员提出一种结合被动与主动控制优势的混合微流控方法,通过在 PDMS 微流控装置中对称设置压力室调控通道横截面积,实现液滴聚结的按需控制与乳液稳定性的精准表征。相关研究以“Hybrid microfluidic device for on-demand control of droplet coalescence and testing of emulsion stability”为题目,发表在期刊《Microfluidics and Nanofluidics》上。
本文要点:
1、本研究提出了一种在微流控液滴生成装置内表征乳液抗聚并稳定性的新方法。该“混合”方法结合了被动与主动控制的特点,仅通过简单的单层PDMS结构,即可在宽流速范围内主动控制液滴聚并。
2、装置设有对称分布于主通道两侧的压力腔,施加超压可使通道截面变形,从而调节液滴速度与间距,控制聚并率。
3、系统实验验证了该原理的可行性,证明该方法不仅适用于乳液稳定性评估,还能按需生成特定聚并模式,甚至触发单一液滴对的聚并,为乳液表征与液滴操控提供了新途径。

该“混合方法”控制液滴聚并的工作原理:
1、压力室施加过压→PDMS弹性变形,通道顶部上凸(底部受玻璃约束变形小)→通道横截面积增大;
2、通道面积变化→液滴与连续相速度降低、液滴间距减小;
3、当液滴接触时间(tcontact)大于液膜排液时间(tdrainage)时,触发聚并,通过过压调控聚并率。

图1. A为用于改变微流控通道几何结构的对称放置压力室的示意图俯视图。微流控通道以蓝色显示,压力室以白色显示。B为混合法微流控装置在“被动”(上图)和“主动”(下图)状态下的二维横截面图。聚二甲基硅氧烷(PDMS)以灰色显示,玻璃显微镜载玻片以浅蓝色显示,压力室以白色显示,连续相以黄色显示,液滴以蓝色显示。C为“混合法”微液滴聚结装置的示意图设计。插图展示了聚结室的特写,包含扩展通道段和压力室的尺寸标注。D为按需液滴聚结室内液滴融合过程的三维渲染图。

图2. 为施加0bar和4.5bar压力下微流控通道横截面变化的z堆叠共聚焦图像。通道内填充5μM荧光素钠溶液,采用477nm波长激光激发。A1为扩展通道段的俯视图。A2为沿A1的y轴获取的横截面图。A3为沿A1上标注的x轴获取的横截面图。连续相和分散相均为荧光素钠溶液,流速为500μL/h。图像通过NIS Viewer软件拍摄。B为0bar超压作用下通道高度计算的Python程序(分析结果图)。C为检测到的最大通道高度沿垂直轴的强度分布图。

图3. 为通过施加从0bar到4.25bar再恢复至0bar的超压序列,诱导主通道变形,从而实现液滴流动行为控制的示意图(或实验结果图)。连续相为含2wt%ABIL EM 90表面活性剂的矿物油,流速为450μL/h;分散相为水,流速为70μL/h。

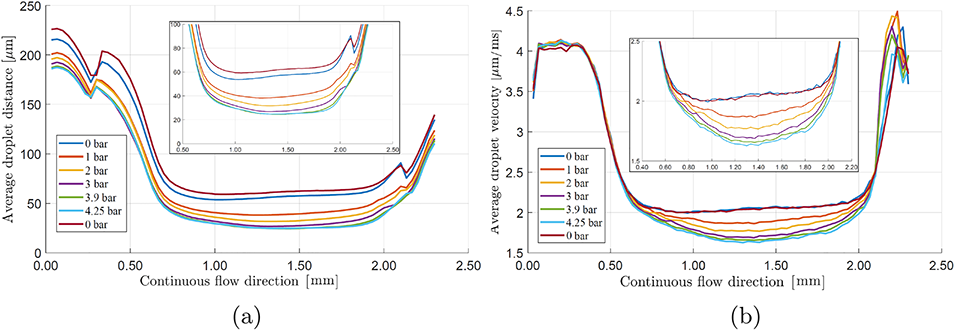
图4. a为不同压力下,液滴平均速度随其在扩展通道段内沿流动方向位置变化的关系图。液滴在约300μm处进入扩展通道,在2200μm处离开。插图显示y轴范围为1.5-2.5μm/s的液滴平均速度图。b为压力室施加不同压力时,液滴平均最近邻距离随其在扩展通道段内沿流动方向位置变化的关系图。“0”位置对应图1C中x=0的标注处。插图显示y轴范围为0-100μm的液滴平均距离图。(实验条件:连续相为含2wt%ABIL EM 90表面活性剂的矿物油,流速为450μL/h;分散相为水,流速为70μL/h。)

图5. 为在施加压力逐渐增加的一系列条件下,液滴在压缩通道段内的平均速度随时间变化的关系图。“0”位置对应图1C中x=0的标注处。(实验条件:连续相为含2wt%ABIL EM 90表面活性剂的矿物油,流速为450μL/h;分散相为水,流速为70μL/h。)

图6. 为不同施加压力下,液滴半径相对于初始半径的减小量关系图。其中,Rmax表示初始液滴半径,Rdiff表示初始液滴半径与每个液滴观察到的最小半径之间的差值。每个数据点的液滴平均半径均基于至少643个液滴的统计结果计算得出。(实验条件:连续相为含1wt%ABIL EM 90表面活性剂的矿物油,流速为450μL/h;分散相为水,流速分别为150μL/h和190μL/h。)

图7. 为不同施加压力下的聚结频率关系图。所有数据点的样本量在643-933个之间。连续相为含3种不同重量百分比ABIL EM 90表面活性剂的矿物油,流速为1000μL/h;分散相为水,图a中流速为150μL/h,图b中流速为190μL/h。每个数据点分析的液滴数量最少为643个。

图8. a为液滴聚结被控制为“2个聚结液滴+1个非聚结液滴”的2:1交替模式的实验结果图。压力室施加的超压为3.5bar。b为压力室内部施加3.5bar超压时的单个液滴对聚结事件的实验结果图。上图显示压力室开始施加超压前一刻的帧图像;中图显示42ms后发生的单个液滴对聚结事件。(两组实验的共同条件:连续相为含2wt%ABIL EM 90表面活性剂的矿物油,流速为1000μL/h;分散相为水,流速为150μL/h。)
论文链接:https://doi.org/10.1007/s10404-025-02838-z
(本文仅供参考学习及传递微流控研究成果,版权归原作者所有,如侵犯权益,请联系删除)






