研究背景与意义
1、能源现状:经济发展与人口增长导致化石燃料过度使用,引发环境问题;全球约90%能源因供需时空不匹配、转换存储效率低而浪费,太阳能等可再生能源亟待高效利用。
2、技术基础:潜热储能是高效储能方式,相变材料(PCMs)因相变时吸收/释放大量热量,在调温、储能领域应用广泛,但有机PCMs易泄漏、易受污染,限制实际应用。
3、现有问题:传统微胶囊制备技术(原位聚合、界面聚合、乳液聚合)存在毒性、材料选择受限、壳厚不可控、封装效率低等缺陷,需开发新型简便高效的封装方法。

导读
东华大学纺织学院高晶教授团队提出一种基于双乳液模板的相变微胶囊高效制备方法,通过引入壳单体作为不互溶第三相构建热力学稳定的核壳型双乳液,经UV固化成功制备出以HDDA为壳、正十八烷、硬脂酸甲酯等不同相变温区有机材料为芯的相变微胶囊。该微胶囊封装效率超99.7%,具备优异的热稳定性和循环耐久性,在调温流体、智能织物等热管理领域展现出广阔应用前景。相关研究以“Double emulsion templates for efficient production of phase change microcapsules”为题目,发表在期刊《Chemical Engineering Journal》上。
本文要点
1、该研究基于复杂乳液动态重构机制,提出一种新型双乳液模板法制备相变微胶囊。选取三种不互溶液相构建核-壳封装结构的双乳液,以1,6-己二醇二丙烯酸酯(HDDA)为壳层材料,分别以正十八烷(C₁₈)、硬脂酸甲酯(Mes)、正二十烷(C₂₀)和正二十二烷(C₂₂)为相变材料,成功制备出不同相变温度梯度的微胶囊。
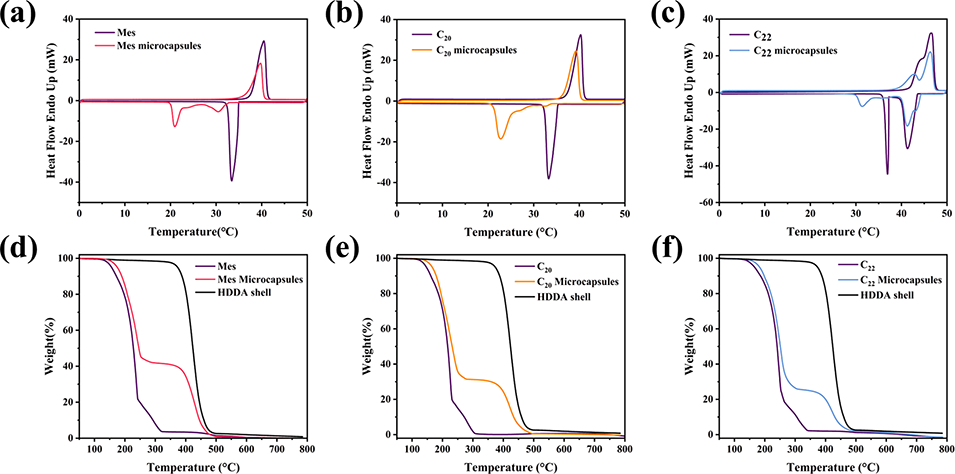
2、通过调控壳层预聚体量可调节壳层厚度,所制备的微胶囊具有球形完整、表面光滑、核-壳结构清晰的特点,封装效率超99.7%,其中C₁₈微胶囊相变焓达171.86 J/g,经100次冷热循环后焓值保留率仍达99.6%,展现出优异的热稳定性和循环耐久性。
3、应用测试表明,该微胶囊浆料的储热调温性能优于水,负载微胶囊的相变织物相比纯织物具有显著的温度缓冲能力。该制备方法简单快速、可扩展性强,在温度调节和热管理相关领域具有广阔应用前景。

双乳液模板法制备相变微胶囊的核心原理是利用三相界面张力调控实现乳液动态重构,形成热力学稳定的核-壳型双乳液,再通过固化反应将壳层定型,实现相变材料(PCM)的高效封装,具体可分为三个关键步骤:
1.三相体系构建与界面张力调控
在传统油/水(o/w)两相乳液基础上,引入壳层单体(如HDDA)作为不互溶的第三相,形成“相变材料(核相)-壳层单体(中间相)-连续相(如PVA水溶液)”的三相体系。
核心是通过界面张力的内在关系驱动乳液构型优化:当满足“核相-连续相的界面张力>核相-壳层相的界面张力+壳层相-连续相的界面张力”时,壳层相(中间相)会自发包裹核相(相变材料),形成热力学稳定的核-壳型双乳液(o/o/w结构),避免传统两相乳液需大量表面活性剂稳定、易分层的问题。
2.双乳液模板的形成
三相体系经均质分散后,借助界面张力的动态重构,壳层单体完全包裹相变材料液滴,形成均匀的双乳液液滴——相变材料为核心,壳层单体为包裹层,连续相为分散介质。这种构型从热力学上最小化界面能,确保相变材料被稳定包裹,为后续封装提供“模板”。
3.壳层固化与微胶囊成型
通过紫外光固化(如HDDA的光诱导自由基聚合),将双乳液模板中的壳层单体(中间相)交联形成致密的聚合物壳膜,永久固定核-壳结构,最终得到“相变材料核心-聚合物壳层”的相变微胶囊。固化过程不破坏核相完整性,且能精准保留双乳液的核-壳构型,实现相变材料的无泄漏封装。

图1 用于制备相变微胶囊的双乳液构型机理示意图

图2 双乳液模板法制备相变微胶囊的流程示意图

图3 2wt% PVA水溶液中,经简单手摇(a₁, a₃)和实验室均质机(b₁, b₃)制备的、被HDDA完全包裹的微粒偏光显微镜(POM)图像

图4 不同乳液构型制备的相变微胶囊的光学显微镜照片(a₁至c₁)及扫描电子显微镜(SEM)形貌图(a₂-a₅至c₂-c₅)

图5 不同正十八烷(C₁₈)与HDDA体积比制备的相变微胶囊的光学显微镜照片(a₁至e₁)、SEM形貌图(a₂-a₅至e₂-e₅)及透射电子显微镜(TEM)显微结构图(a₆-a₇至e₆-e₇):(a₁至a₇) 1:0.1;(b₁至b₇) 1:0.3;(c₁至c₇) 1:0.5;(d₁至d₇) 1:0.7;(e₁至e₇) 1:0.9

图6 C₁₈、HDDA壳层及相变微胶囊的傅里叶变换红外光谱(FTIR)图(a)和 X 射线衍射(XRD)图(b)

图7(a)C₁₈及不同核-壳比相变微胶囊的差示扫描量热(DSC)曲线(1:0.3、1:0.5、1:0.7、1:0.9分别对应图5中b至e所示微胶囊);(b)C₁₈、相变微胶囊及HDDA的热重分析(TGA)曲线

图8 硬脂酸甲酯(Mes)(a₁至a₂)、正二十烷(C₂₀)(d₁至d₂)及正二十二烷(C₂₂)(g₁至g₂)微胶囊的偏光显微镜(POM)图像;不同放大倍数下Mes(b₁至b₃)、C₂₀(e₁至e₃)及C₂₂(h₁至h₃)微胶囊的SEM图像;Mes(c)、C₂₀(f)及 C₂₂(i)微胶囊的粒径分布图

图9 Mes、C₂₀、C₂₂微胶囊的傅里叶变换红外光谱(FTIR)图(a)和 X 射线衍射(XRD)图(b)

图10 Mes(a)、C₂₀(b)及 C₂₂(c)微胶囊的差示扫描量热(DSC)曲线;Mes(d)、C₂₀(e)及 C₂₂(f)微胶囊的热重分析(TGA)曲线

图11 C₁₈(a)及正十八烷微胶囊(b)的高温泄漏测试图(注:测试条件为 100℃下放置1小时)

图12 不同冷热循环次数下相变微胶囊的SEM显微图:(a)0次、(b)25次、(c)50次、(d)100次;100次循环后相变微胶囊的差示扫描量热(DSC)曲线(e)和热重分析(TGA)曲线(f)

图13(a)60℃加热条件下,水与正十八烷微胶囊浆料的温度-时间曲线;(b)19℃冷却条件下,水与正十八烷微胶囊浆料的温度-时间曲线;(c)喷涂后相变微胶囊的SEM图像(c₁)、未处理织物的SEM图像(c₂)及喷涂相变微胶囊后相变织物的SEM图像(c₃、c₄);(d)未处理织物与相变织物的差示扫描量热(DSC)曲线;(e)不同加热时间下相变织物(左)与未处理织物(右)表面温度升高的红外热成像图;(f)不同加热时间下相变织物与未处理织物的表面温度曲线
论文链接:https://doi.org/10.1016/j.cej.2024.154006
(本文仅供参考学习及传递微流控研究成果,版权归原作者所有,如侵犯权益,请联系删除)






