液滴微流控技术在单细胞分析等领域应用广泛,但传统系统受泊松分布制约,单颗粒/细胞封装时空液滴概率达57%,导致样本浪费、检测效率低、成本增加。此前基于惯性力或粘弹性力的封装方法,存在流速要求严苛(如惯性力需高流速易损伤细胞)、通道结构复杂或高浓度聚合物影响液滴稳定性等问题。


近期,有研究人员开发了一种新型声学-粘弹性液滴微流控系统。该系统通过声泳力与粘弹性力的协同作用,在生成微滴前将细胞或颗粒精确聚焦并排列成均匀队列,从而突破了传统封装中泊松分布的限制,实现了远超理论概率的高效单细胞封装。相关研究以“Acousto-viscoelastic droplet microfluidics enhancing single particle-in-droplet encapsulation unlimited by the Poisson distribution”为题目,发表在期刊《Sensors and Actuators B: Chemical》上。
本文要点:
1、本研究开发了一种声学-粘弹性液滴微流控系统,通过将声泳力与粘弹性力结合,实现了不受泊松分布限制的高效单颗粒/细胞封装。
2、该系统利用声泳使粘弹性介质中悬浮的颗粒或细胞在微通道中部聚焦并均匀排序,再生成液滴,空液滴率仅7%。
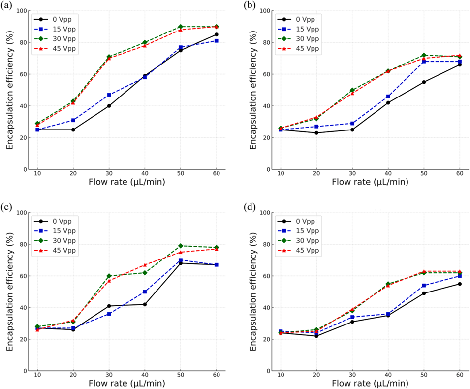
3、实验使用聚苯乙烯颗粒、红细胞和胰腺癌细胞进行验证,在优化条件(流速60μL/min、声压30V)下,单颗粒/细胞封装效率分别达到90%、63%和79%。
4、该系统在更宽的流速范围内(10~70μL/min)均能实现高效封装,为单细胞分析领域(如单细胞组学、药物筛选)提供了高效平台。



图1. 示意图显示:(a)用于单粒子/细胞液滴封装的声学-粘弹性芯片;(b)粒子/细胞液滴封装前,通过粘弹性力与声泳力实现粒子/细胞聚焦与排序的过程。

图2.(a)制备的声流体器件光学图像及其粒子排序区的横截面(100×50μm²)示意图;(b)实验装置图:粒子/细胞样本与油相从入口流入,单个7.5MHz压电换能器(PZT)产生声驻波,使粒子/细胞在矩形通道中心聚焦;粘弹性力不仅能实现粒子/细胞的三维聚焦,还能使其在通道中心有序排列;(c)13μm聚苯乙烯(PS)粒子封装过程的高速相机图像。

图3. 有序排列粒子的高速相机图像:(a)13μm粒子;(b)6μm粒子;(c)13μm粒子、(d)6μm粒子在不同流速下,施加与不施加PZT电压时的归一化间距(s*=s/d,s为粒子间距,d为粒子直径)及其分布(比例尺:100μm)。

图4. (a)流速为40μL/min、施加与不施加PZT 30V电压时,13μm和6μm粒子的液滴封装光学图像;(b)13μm粒子、(c)6μm粒子在施加与不施加PZT 30V电压时的液滴封装概率;彩色阴影分别标注液滴(绿色)与粒子(红色);收集到的液滴图像显示,13μm和6μm粒子的单粒子液滴封装概率分别为71%和62%(比例尺:100μm)。

图5. 13μm和6μm粒子在不同实验条件下的液滴封装概率,实验条件包括两种声泳力生成电压(0V和30V)与五种流速(10~60μL/min)。

图6. 高速相机图像:(a)流速为40μL/min时,施加PZT(i)0V、(ii)30V电压的胰腺癌细胞(PANC-02);(b)流速为40μL/min时,施加PZT(i)0V、(ii)30V电压的红细胞(RBCs)排序与封装过程;(c)施加与不施加电压时,PANC-02细胞和RBCs的间距分布(比例尺:100μm)。

图7.(a)流速为40μL/min、施加与不施加PZT 30V电压时,PANC-02细胞和RBCs的液滴封装光学图像;(b)PANC-02细胞、(c)RBCs在施加与不施加PZT 30V电压时的液滴封装概率(比例尺:100μm)。

图8. 不同流速与声泳力条件下的单粒子/细胞液滴封装效率;该效率通过Python程序分析三次实验中收集的300个液滴(总样本量Ntotal=300)视频图像得出:(a)13μm粒子;(b)6μm粒子;(c)PANC-02细胞;(d)RBCs。
论文链接:https://doi.org/10.1016/j.snb.2025.138962
(本文仅供参考学习及传递微流控研究成果,版权归原作者所有,如侵犯权益,请联系删除)






